Персонаж ГДЗ — поиск ответов по фото

ГДЗ по алгебре 9 класс Мерзляк самостоятельные и контрольные работы Углубленный уровень самостоятельные работы / вариант 4 - 11

ГДЗ Алгебра 9 класс самостоятельные и контрольные работы  Мерзляк А.Г. Углубленный уровень Вентана-граф 2018 — готовые ответы и решения

Авторы:

Издательство: Вентана-граф

Серия: Алгоритм успеха

Тип книги: Самостоятельные и контрольные работы

Год: 2018

Рекомендуем посмотреть

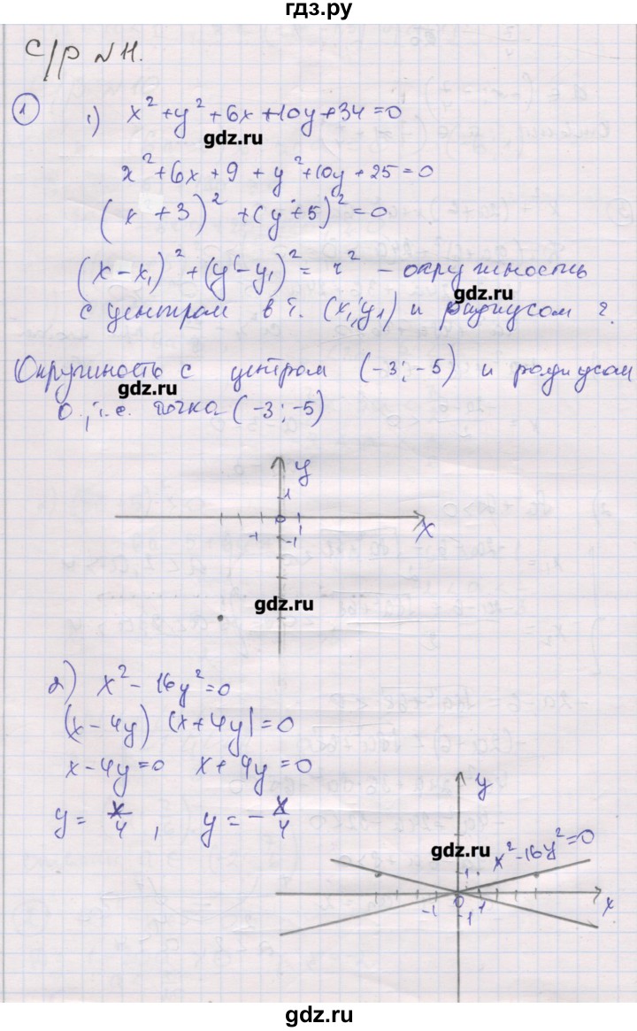
Подробное решение самостоятельные работы / вариант 4 № 11 по алгебре самостоятельные и контрольные работы для учащихся 9 класса Алгоритм успеха Углубленный уровень, авторов Мерзляк, Полонский, Рабинович 2018

Решебник / самостоятельные работы / вариант 4 / 11
ГДЗ по алгебре 9 класс Мерзляк самостоятельные и контрольные работы  Углубленный уровень самостоятельные работы / вариант 4 - 11, Решебник
ГДЗ по фото
ГДЗ по алгебре 9 класс Мерзляк самостоятельные и контрольные работы  Углубленный уровень самостоятельные работы / вариант 4 - 11, Решебник
ГДЗ по фото
ГДЗ по алгебре 9 класс Мерзляк самостоятельные и контрольные работы  Углубленный уровень самостоятельные работы / вариант 4 - 11, Решебник
ГДЗ по фото

Расскажите об ошибке

ГДЗ по алгебре 9 класс Мерзляк самостоятельные и контрольные работы Углубленный уровень самостоятельные работы / вариант 4 - 11
Сообщение должно содержать от 10 до 250 символов
Спасибо! Ваше сообщение успешно отправлено!