Персонаж ГДЗ — поиск ответов по фото

Гдз по математике за 6 класс Виленкин, Жохов, Чесноков ответ на номер № 2.2.99

ГДЗ Математика 6 класс  Виленкин Н.Я. 2021-2024 — готовые ответы и решения

Авторы:

Тип книги: Учебник

Год: 2021-2024

Часть: 1, 2

Рекомендуем посмотреть

Подробное решение §2 / проверочные работы № стр. 99 по математике для учащихся 6 класса , авторов Виленкин, Жохов, Чесноков, Александрова, Шварцбурд 2021-2024

§2 / проверочные работы / стр. 99

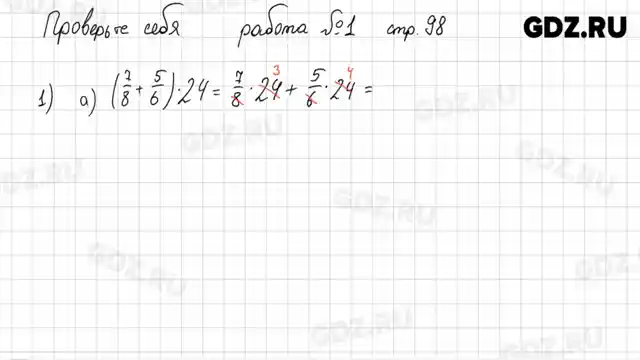
Проверочная работа № 2
1 Упростите выражение и найдите его значение:
а) 1/2p + 3/14p при p = 3 1/2;
б) 1 4/37 + 3/16n - 4/37 + 2 3/12n при n = 3 1/5.
2 Решите уравнение:
а) 1/4x + 2/3x + 1/12x = 5;
б) 3 1/5y - 2 6/25y = 24/25;
в) 1 3/8x - 7/16x = 1 7/8.

Решебник 2024 / §2 / проверочные работы / стр. 99
Гдз по математике за 6 класс Виленкин, Жохов, Чесноков ответ на номер № 2.2.99, Решебник 2024
ГДЗ по фото
Видеорешение 2024 / §2 / проверочные работы / стр. 99
Плееры:

Расскажите об ошибке

Гдз по математике за 6 класс Виленкин, Жохов, Чесноков ответ на номер № 2.2.99
Сообщение должно содержать от 10 до 250 символов
Спасибо! Ваше сообщение успешно отправлено!